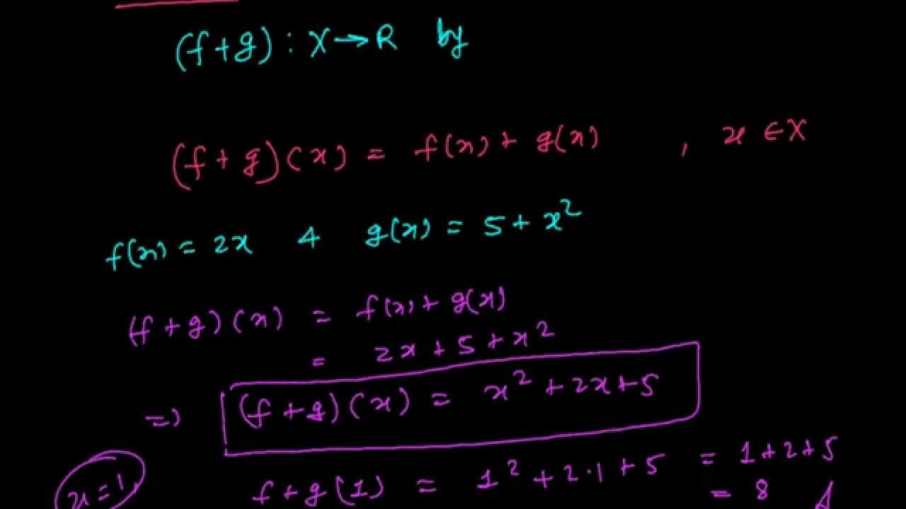
Maths Addition
27 Jan 2022
Gurushala
Class 9
English